背景:关于水田利用的研究具有明显的地域性,主要分布在亚洲、西欧和中欧以及北美,其中,中国是对其研究最多的国家,其次是日本、美国和印度。而中国的研究案例区域多集中在平原地区,且倾向于东北平原地区,缺少对中国西南岩溶山区山间坝子水田利用的研究。中国西南岩溶山地散布着数以千计的山间盆地,由各种平坦的山间地貌组成,包括构造盆地、河流阶地、冲积扇和层积岩,是世界上三大连片岩溶分布区之一。作为相对于坡地的另一种典型地貌类型,山间坝子是岩溶山区土地资源的精髓,是岩溶山区粮食生产和人类活动的中心,对区域政治、经济、文化、生态建设起着重要支撑作用;在山区,可供耕作的平地面积有限,因此,水田利用集中在由各种地貌过程形成的山间盆地(当地称为 "坝子"), 对山区的粮食安全具有重要意义。因此,揭示山地-盆地系统的土地利用转型对山区土地的可持续利用具有重要意义。
本文以中国西南岩溶山区相对于坡地的另一种地貌单元,贵州惠水大坝为研究对象。惠水大坝是贵州省分布连片最大的山间坝子,属于喀斯特盆地地貌,具有城郊的典型特征。坝内土地利用类型以水田为主,是贵州省现代农业发展的典型山间坝子,深入探讨其水田利用演变与转型特征规律,可以为全面揭示中国西南岩溶山区土地利用转型规律和人地关系演变提供基础。本文研究目标有以下3点:(1)构建岩溶山区山间坝子水田利用演变与转型研究框架;(2)以典型山间坝子水田利用为例,分析其长时间序列动态演变过程及转型特征;(3)揭示山间坝子水田利用与坡地土地利用转型的差异性规律。
成果名称 :Transformation of Paddy Field Use in Intermountain-Type Basins Using Evidence from the Structure and Function Perspective of Karst Mountain Areas in Southwest China.
结构和功能视角下典型山间坝子水田利用转型—来自中国西南岩溶山区的证据
成果作者:陈梅,李阳兵,唐芳,徐倩,余梦,张涵,李雪
成果简介:中国西南岩溶山区山多平地少,山间坝子是其典型的地貌类型之一,当前,对岩溶山区典型地貌核心土地利用的对比研究较为缺乏。研究山间坝子水田利用演变和转型规律,对山区优化土地资源具有重要意义。本研究基于结构和功能视角,构建了岩溶山区山间坝子水田利用演变与转型研究框架,运用土地利用变化测度方法、移动窗口法和MSPA模型,分析了贵州省1966—2020年典型山间坝子水田利用演变与转型规律。研究表明:山间坝子水田利用演变具有可逆和不可逆性、多样性和阶段性的特征。山间坝子水田利用转型需要在区域社会经济发展、生态保护和粮食安全三者之间权衡。山间坝子和坡地土地利用转型共同性体现在其土地利用功能的多样化。本文通过核心土地利用类型的长时间序列演变,深入揭示了山间坝子不同于坡地的土地利用转型,为全面理解中国西南岩溶山区土地利用转型和可持续发展提供了参考。本文构建的研究框架和研究方法也同样适用于其它地区。
成果图表:

图 1西南岩溶山区山间坝子水田利用转型研究框架

图 2研究区位置与地形示意图

图 3研究区数据来源及分辨率

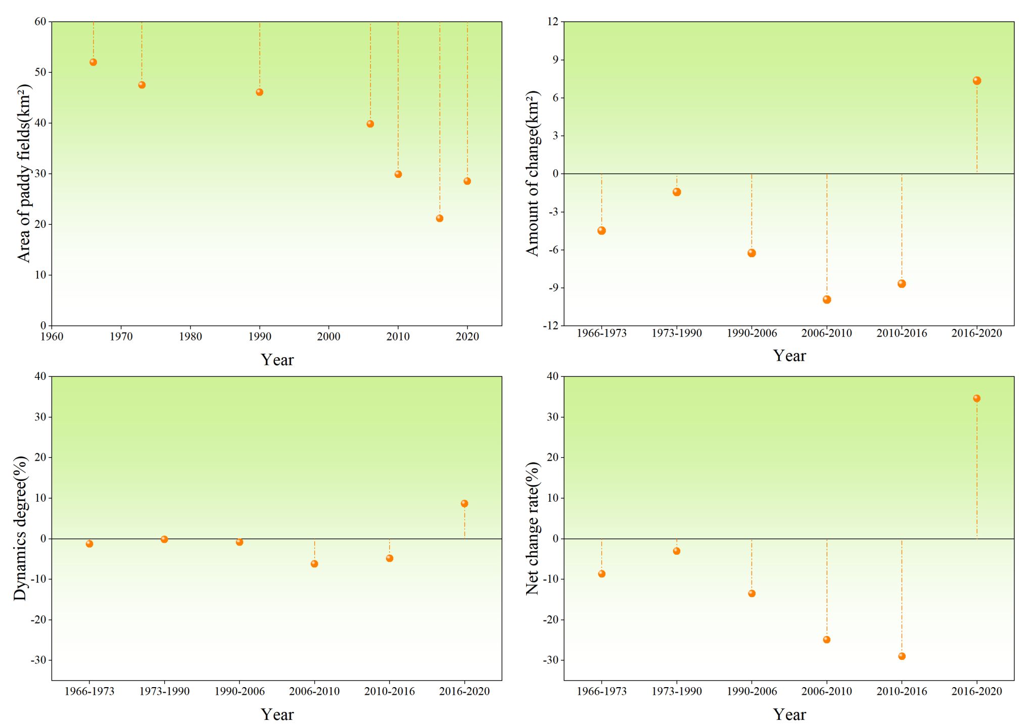
图4 1966-2020年山间坝子水田面积及其变化情况

图 5 1966-2020年水田面积百分比空间分布

图6 1966-2020年山间坝子水田形态学空间格局

Note: A- paddy field, B-dry land, C- industrial and mining storage land, D-residential and living land, E-ecological land, F-modern scale agricultural land
图 7 1966-2020年山间坝子水田转移面积及其占比

图8 山间坝子水田利用转移空间分布

图9 山间坝子水田利用演变阶段模型

图 10山间坝子水田分布及主要土地利用功能演变空间差异

图11 山间坝子水田利用演变模式

图 12山间坝子水田利用转型驱动机制

图13 中国岩溶山区坡耕地与山间坝子水田转型规律
项目资助:该研究得到了国家自然科学基金项目(41661020,4261035),黔科合平台人才([2021]A22,[2017]5726)资助。
期刊简介:《Agronomy》期刊ISSN为 2073-4395,创刊于2011年,出版商是Multidisciplinary Digital Publishing Institute (MDPI),影响因子3.7,SCIE收录。是一本关于农学和农业生态学的国际跨学科学术期刊。

第一作者简介:陈梅(1997-),女,贵州毕节人,中共党员。williamhill2021级自然地理学硕士研究生。2023年研究生国家奖学金获奖者,参与导师多项科研课题,曾获研究生学业奖学金二等奖、三好员工等荣誉。主要研究方向为西南岩溶山区土地利用转型。目前在研期间取得代表性研究成果如下:
Chen, Mei, Yangbing Li, Fang Tang, Qian Xu, Meng Yu, Han Zhang, and Xue Li. 2023. "Transformation of Paddy Field Use in Intermountain-Type Basins Using Evidence from the Structure and Function Perspective of Karst Mountain Areas in Southwest China" Agronomy 13, no. 6: 1552. https://doi.org/10.3390/agronomy13061552

通讯作者简介:李阳兵(1968- ),男,重庆潼南人,教授、博士生导师,中国科公司地球化学研究所博士后,中国科公司生态环境中心“西部之光”访问学者。近期主要从事岩溶山地人地关系与景观生态变迁研究。主持国家自然科学基金3项:乡村振兴背景下岩溶山地坡耕地利用转型时空过程与机制(42061035)、岩溶山地乡村坝子土地利用多功能性识别及其时空演化与机理研究—以贵州为例(41661020)、丛洼地区乡村聚落变迁及其生态效应-以贵州为例(41261045),教育部人文社科项目和省基金等10余项,参与承担国家973计划、国家重点研发计划、国家科技惠民计划、国家科技支撑计划重大课题等多项。在科学出版社出版专著4部、合编面向21世纪教材1部;获国家级奖1项、省部级奖3项;荣获“教育部新世纪优秀人才”、“贵州省青年科技奖”,2012年“贵州省优秀科技工作者”等荣誉称号。以第一作者和通讯作者在中外学术刊物发表论文100余篇。

一审(校):谢小兰;二审(校):吴沂晓;三审(校):赵翠薇